Auto Ecole Route 67

Label : qualité des formations au sein des écoles de conduite

Le Conseil supérieur de l’éducation routière a défini l’ensemble des critères de qualité relatifs à la qualité des actions de la formation professionnelle continue.

Ces critères ont été retenus dans le cadre du label « qualité des formations au sein des écoles de conduite » dont certains doivent obligatoirement apparaître sur le site Internet.

Ce label est gratuit et repose avant tout sur une démarche volontaire des écoles de conduite et des associations agréées qui feront cependant l'objet de contrôles de la part des inspecteurs du permis de conduire et de la sécurité routière (IPCSR) afin d'en vérifier le respect.

Le label autorise l’auto-école à proposer

✔️ La formation complémentaire « postpermis »
✔️ La formation boîtes manuelles de 7 h suite au permis de conduire en boîte automatique
✔️ La formation de 7 h pour la conduite d’un véhicule attelé à une remorque

Les engagement de l’auto-école labellisée

✔️ Des offres et tarifs transparents
✔️ Une équipe pédagogique qualifiée et des formations de qualité
✔️ Un accompagnement personnalisé
✔️ Une école évaluée par ses élèves
✔️ Une sécurité financière

Label qualité

Critère 1 : Les conditions d'information du public sur les prestations proposées, les délais pour y accéder et les résultats obtenus.

Document(s) à télécharger :

Document(s) à télécharger :

Document(s) à télécharger :

Un bilan annuel sur les 12 derniers mois glissant sera communiqué sur simple demande à l'agence pour les formations AAC , B et CS.

Document(s) à télécharger :

vous trouverez toutes les informations utiles sur le site de la sécurité routière.

https://www.securite-routiere.gouv.fr/passer-son-permis-de-conduire/conduite-accompagnee/conduite-supervisee
https://www.securite-routiere.gouv.fr/passer-son-permis-de-conduire/conduite-accompagnee/apprentissage-anticipe-de-la-conduite
le site de l'auto école route 67 est le suivant : www.autoecoleroute67.com

Critère 2 : L'identification précise des objectifs des prestations proposées et l'adaptation de ces prestations aux publics bénéficiaires, lors de la conception des prestations.

Document(s) à télécharger :

Le site de la CEREMH recense des auto-écoles spécialisées par département.

Document(s) à télécharger :

contactez nous pour un devis personnalisé.

Critère 3 : L'adaptation aux publics bénéficiaires des prestations et des modalités d'accueil, d'accompagnement, de suivi et d'évaluation mises en oeuvre.

Toutes les informations sont accessibles soit via l'application mounki ou pass rousseau.
Les évaluations se font sur l'application mounki ou pass rousseau en cours et en fin de formation.
Une prise de contact soit par appel téléphonique, sms ou mail est faite afin de s'informer sur le suivi de l'élève.
Route 67 informe en fonction du contrat mis en place de la progression de l'élève et sur demande.
Si l'école de conduite ou l'association met en œuvre des formations financées en tout ou partie
par une entreprise à destination de salarié(s), elle met en place des modalités de suivi avec l'entreprise concernée.

Critère 4 : L'adéquation des moyens pédagogiques, techniques et d'encadrement aux prestations mises en oeuvre.

Route 67 est munie d'un véhicule équipé auto école, boite mécanique et boite automatique , ainsi qu'un accés à jour , des cours et séries de code en temps réel.
Fraser caroline
autorisation d'enseigner : A0206701530
référente pédagogique , chargée des relations avec les élèves ainsi que le handicap.

Document(s) à télécharger :

Fraser caroline

Critère 5 : La qualification et le développement des connaissances et compétences des personnels chargés de mettre en oeuvre les prestations.

Route 67 fait suivre à son ou ses enseignants des formations régulièrement par l'ANPER afin d'être à jour des connaisances .

Document(s) à télécharger :

chaque élève est suivi par un enseignant qualifié.

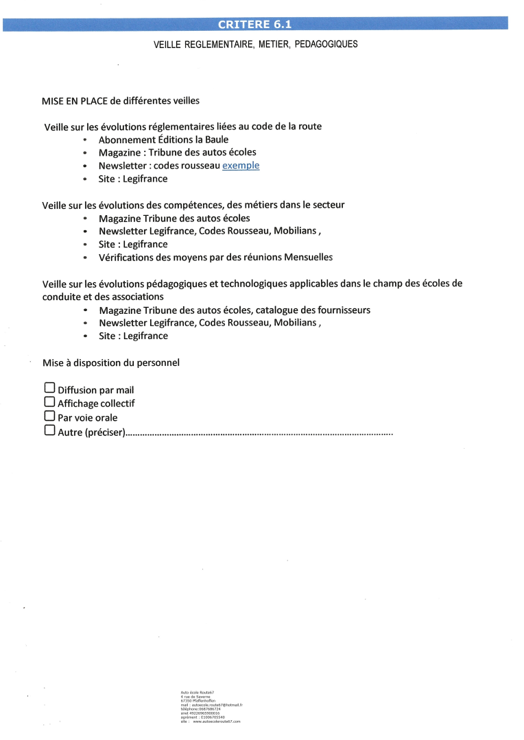
Critère 6 : L'inscription et l'investissement du prestataire dans son environnement professionnel.

Document(s) à télécharger :

Document(s) à télécharger :

Critère 7 : Le recueil et la prise en compte des appréciations et des réclamations formulées par les parties prenantes aux prestations délivrées.

Document(s) à télécharger :

Document(s) à télécharger :

Document(s) à télécharger :

Dans Easysystème, l’école de conduite récupère et mesure les avis de ses élèves (service gratuit). Les adhérents au Club Rousseau bénéficient de la publication des avis collectés via Easysystème sur la plateforme Codes Rousseau.
Résolution des problèmes:
exposition des faits : quels sont les acteurs des faits , la nature précise des faits, dans quel lieu et à quel moment s'est manifesté le problème , combien de cas sont concernés.

Exposition des conséquences et pourquoi?

Quelle est la situation satisfaisante souhaitée?

Recherche des causes et pourquoi?

Recherche et mise en oeuvre de solutions